Skip to main content
UTeM HOLDINGS EDUCATION
Home
About Us
Facilities
Activities
List of Services
Academic Programme
Offshore Academic Programme
UTeM PUBLIC UNIVERSITY PRIVATE WING (PUPW)
Program
New Program
Promotion
Product
UTeM Assets For Rent
Contact Us
Open Access UTeM
International Students
International Students
CHINA
UNDERGRADUATES PROGRAMME
Postgraduates Programme
UTeM HOLDINGS EDUCATION
Home
About Us
Facilities
Activities
List of Services
Academic Programme
Offshore Academic Programme
UTeM PUBLIC UNIVERSITY PRIVATE WING (PUPW)
Program
New Program
Promotion
Product
UTeM Assets For Rent
Contact Us
Open Access UTeM
International Students
International Students
CHINA
UNDERGRADUATES PROGRAMME
Postgraduates Programme
国际学生研究生课程入学指南
开学时间:全年
研究生申请资格
博士课
程
英语语言课程费用
课程费
模块1 (9个月) *MYR 10,500
模块2 (6个月) *MYR 7,500
模块3 (3个月) *MYR 3,900
考试费
分班测验 *MYR 100
MUET *MYR550
*所有费用由学生承担
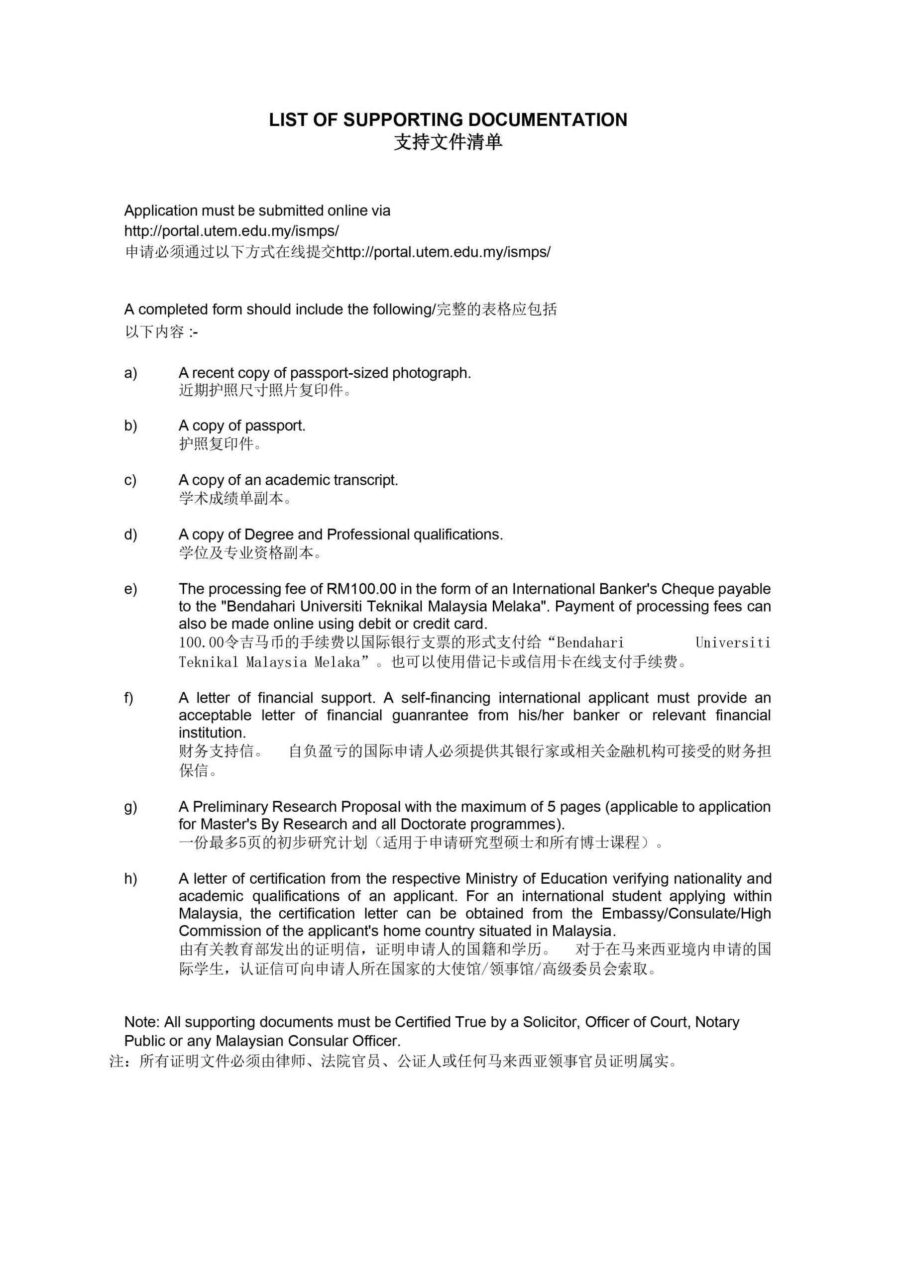
其他要求(国际学生)
联络我们
UTeM HOLDINGS EDUCATION SDN BHD 与 凤龙湾 YUNNAN FENGLONGWAN ENTERPRISE MANAGEMENT CO. 协议备忘录签约仪式